-
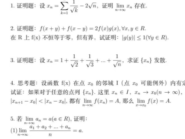
活动预告丨数分讨论班&每周一题第十四期
2026-05-10 13:30:00
四平路校区教学南楼120
袁一鸣 李步凡 范嘉赟
查看详细
-
【书院夜话】探索·答疑·成长,一起聊聊
2026-05-08 19:00:00
嘉定校区F楼415-1
陈嘉瑜
查看详细
-
【书院夜话】城市造梦师:关于CAUP学院六大专业的夜谈会
2026-05-08 18:30:00
四平路校区西南一楼1037
张鹏 张文佳 闫超
查看详细
-
【书院夜话】乡村振兴战略与校地共创实践
2026-04-29 18:00:00
四平路校区西南一楼1037
陈晨
查看详细
-
活动预告丨数分讨论班&每周一题第十三期
2026-04-26 13:30:00
四平路校区教学南楼120
王铭浚 赵弋铭 孟士祁
查看详细







